Federated Learning-based Resilient Control of Shipboard Power System
November 4, 2024
Contents:
Problem Formulation
Federated XGBoost for Generator Load Prediction
Results
Convergence
Conclusion
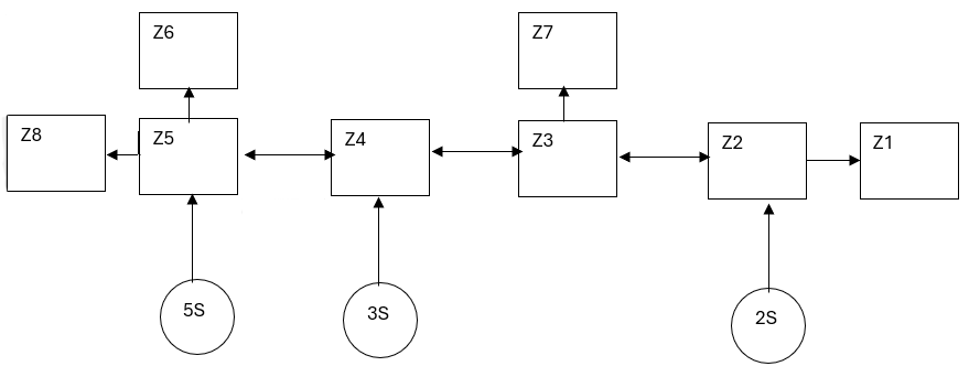
Navy Shipboard Powersystem
Centralized Load Dispatch
Centralized Load Dispatch
Centralized Load Dispatch
Optimization Problem
Objective \(\text{arg} \min_{g_1,..,g_P} \ \frac{1}{2}\left \lVert \sum_{i=1}^P g_i(t) - \sum_{j=1}^K z_j(t) \right \rVert^2\)
constraint \(\sum_{i=1}^P g_i(t) - \sum_{j=1}^K z_j(t) \geq 0\)
Optimization Problem
Objective \(\text{arg} \min_{g_1,..,g_P} \ \frac{1}{2}\left \lVert \sum_{i=1}^P g_i(t) - \sum_{j=1}^K z_j(t) \right \rVert^2\)
constraint \(\sum_{i=1}^P g_i(t) - \sum_{j=1}^K z_j(t) \geq 0\)
Gradient
Lagrangian \(\mathcal{L} = \frac{1}{2} \left\lVert \sum_{i=1}^P g_i(t) - \sum_{j=1}^K z_j(t) \right\rVert^2 - \lambda \left(\sum_{i=1}^P g_i(t) - \sum_{j=1}^K z_j(t) + s\right)\)
gradient \(\nabla \mathcal{L} \lvert_{g_i(t)} = \left \lVert \sum_{i=1}^P g_i(t) - \sum_{j=1}^K z_j(t) \right \rVert - \lambda = 0\)
estimate \[\Rightarrow \hat{g_i}(t) = \lambda + \color{red}{\sum_{j=1}^K z_j(t)} - \color{red}{\sum_{p=1, p \neq i}^P g_p(t)}\]
Centralized Load Dispatch Vulnerabilities
Centralized Load Dispatch Vulnerabilities
Centralized Load Dispatch Vulnerabilities
Centralized Load Dispatch Vulnerabilities
Centralized Load Dispatch Vulnerabilities
Centralized Load Dispatch Vulnerabilities
Contents:
Problem Formulation
Federated XGBoost for Generator Load Prediction
Results
Convergence
Conclusion
3 step federated learning approach
Short-term Zonal Load Forecast Model
Total Zonal Load Demand Model
Generator Specific Load Model
Federated Learning
short-term Zonal Load Forecast Model
short-term Zonal Load Forecast Model
Total Zonal Load Demand Model
Total Zonal Load Demand Model
Generator Specific Load Model
Generator Specific Load Model
Contents:
Problem Formulation
Federated XGBoost for Generator Load Prediction
Results
Convergence
Conclusion
Contents:
Problem Formulation
Federated XGBoost for Generator Load Prediction
Results
Convergence
Conclusion
Convergence Analysis
\(z_j(t) - \hat{z_j}(t) \rightarrow 0\)
\(\sum_j z_j(t) - \sum_j \hat{z_j}(t) \rightarrow 0\)
\(g_i(t) - \hat{g_i}(t) \rightarrow 0\)









Contents:
Problem Formulation
Federated XGBoost for Generator Load Prediction
Results
Convergence
Conclusion
Conclusion
introduced a robust federated strategy for resilient control of distributed Synchronous generators
theoretically proved the convergence of our approach
performed experiments with the injection of various errors into the historical data of the zonal loads and have shown how resilient the system is to random injection of errors
Conclusion
introduced a robust federated strategy for resilient control of distributed Synchronous generators
theoretically proved the convergence of our approach
performed experiments with the injection of various errors into the historical data of the zonal loads and have shown how resilient the system is to random injection of errors
Future Work
plan to include fuel cost in our objective function to find the optimal low-cost distribution of generator loads and demonstrate its resiliency in the face of communication disruptions
The aggregation server function can also be duplicated at each generator to provide redundancy to the system
federated learning method will also be compared to different regression approaches such as Gaussian Process Regression and combination of GPR and XGBoost on zonal and generator side modeling




Computer Fusion Laboratory